Un NEUROLOG a rezolvat ”ECUAȚIA MUZICALĂ” pentru sănătatea PSIHICULUI! Vezi ce MELODII trebuie să asculți, ca sa ai O MINTE STRĂLUCITĂ
Publicat pe 04.05.2016 la 16:13 Actualizat pe 04.05.2016 la 19:05
Aproape că nu există domeniu în care știința să nu-și fi manifestat prezența!
Aproape că nu există domeniu în care știința să nu-și fi manifestat prezența!
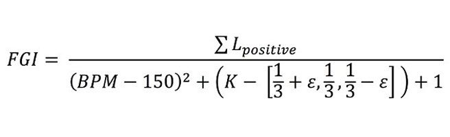
Muzica este acum în vizorul oamenilor de știință, care au conceput chiar o formulă matematică, prin care demonstrează aplicabilitatea acesteia în ce privește sănătatea mentală a oamenilor.
Mai exact, neurochirurgul Jacob Jolij, de la Universitatea din Groningen, Olanda, a făcut un studiu despre impactul pozitiv pe care îl are muzica asupra pshicului. În ecuația sa, a avut în vedere elemente precum, textul melodiilor și ritmul (care dacă atinge 150 de bătăi pe minut, este un generator de energie).

Pentru calcul, acesta a folosit melodii din ultimii 50 de ani, rezultând un top 10 al melodiilor. Pe primele poiziții se află următoarele piese.
1. Queen - Don't Stop me Now- Hitul anilor `90 încă generează bună dispoziție.

2. Abba- `Dancing Queen'- Hitul a fost scris în 1975 și a fost inclus pe cel de-al patrulea album al formației ”Arrival”.

3. The Beach Boys- ”Good Vibrations”- 1966
